NCERT Solutions for Class 8 Maths Chapter 14 Factorisation
In Class 8 NCERT exercise wise questions and answers as well examples will help the students frame a perfect solution in the Maths Exam. These exercise questions can provide students with a topic based preparation strategy. Some of the important topics presented in class 8 NCERT Solutions Maths are factorisation, natural number factors, algebraic expression factors and division of algebraic expressions.
Class 8 Maths Chapter 14 Factorisation Exercise 14.1
Question 1. Find the common factors of the given terms.
(i) 12x, 36
(ii) 2y, 22xy
(iii) 14pq, 28p2q2
(iv) 2x, 3x2, 4
(v) 6abc, 24ab2, 12a2b
(vi) 16x3, -4x2, 32x
(vii) 10pq, 20qr, 30rp
(viii) 3x2y3, 10x3y2, 6x2y2z
Solution:
(i) 12x, 36
(2 × 2 × 3 × x) and (2 × 2 × 3 × 3)
Common factors are 2 × 2 × 3 = 12
Hence, the common factor = 12
(ii) 2y, 22xy
= (2 × y) and (2 × 11 × x × y)
Common factors are 2 × y = 2y
Hence, the common factor = 2y
(iii) 14pq, 28p2q2
= (2 × 7 × p × q) and (2 × 2 × 7 × p × p × q × q)
Common factors are 2 × 7 × p × q = 14pq
Hence, the common factor = 14pq
(iv) 2x, 3x2, 4
= (2 × x), (3 × x × x) and (2 × 2)
Common factor is 1
Hence, the common factor = 1 [∵ 1 is a factor of every number]
(v) 6abc, 24ab2, 12a2b
= (2 × 3 × a × b × c), (2 × 2 × 2 × 3 × a × b × b) and (2 × 2 × 3 × a × a × b)
Common factors are 2 × 3 × a × b = 6ab
Hence, the common factor = 6ab
(vi) 16x3, -4x2, 32x
= (2 × 2 × 2 × 2 × x × x × x), -(2 × 2 × x × x), (2 × 2 × 2 × 2 × 2 × x)
Common factors are 2 × 2 × x = 4x
Hence, the common factor = 4x
(vii) 10pq, 20qr, 30rp
= (2 × 5 × p × q), (2 × 2 × 5 × q × r), (2 × 3 × 5 × r × p)
Common factors are 2 × 5 = 10
Hence, the common factor = 10
(viii) 3x2y2, 10x3y2, 6x2y2z
= (3 × x × x × y × y), (2 × 5 × x × x × x × y × y), (2 × 3 × x × x × y × y × z)
Common factors are x × x × y × y = x2y2
Hence, the common factor = x2y2.
Question 2. Factorise the following expressions.
(i) 7x – 42
(ii) 6p – 12q
(iii) 7a2 + 14a
(iv) -16z + 20z3
(v) 20l2m + 30alm
(vi) 5x2y – 15xy2
(vii) 10a2 – 15b2 + 20c2
(viii) -4a2 + 4ab – 4ca
(ix) x2yz + xy2z + xyz2
(x) ax2y + bxy2 + cxyz
Solution:
(i) 7x – 42 = 7(x – 6)
(ii) 6p – 12q = 6(p – 2q)
(iii) 7a2 + 14a = 7a(a + 2)
(iv) -16z + 20z3 = 4z(-4 + 5z2)
(v) 20l2m + 30alm = 10lm(2l + 3a)
(vi) 5x2y – 15xy2 = 5xy(x – 3y)
(vii) 10a2 – 15b2 + 20c2 = 5(2a2 – 3b2 + 4c2)
(viii) -4a2 + 4ab – 4ca = 4a(-a + b – c)
(ix) x2yz + xy2z + xyz2 = xyz(x + y + z)
(x) ax2y + bxy2 + cxyz = xy(ax + by + cz)
Question 3. Factorise:
(i) x2 + xy + 8x + 8y
(ii) 15xy – 6x + 5y – 2
(iii) ax + bx – ay – by
(iv) 15pq + 15 + 9q + 25p
(v) z – 7 + 7xy – xyz
Solution:
(i) x2 + xy + 8x + 8y
Grouping the terms, we have
x2 + xy + 8x + 8y
= x(x + y) + 8(x + y)
= (x + y)(x + 8)
Hence, the required factors = (x + y)(x + 8)
(ii) 15xy – 6x + 5y – 2
Grouping the terms, we have
(15xy – 6x) + (5y – 2)
= 3x(5y – 2) + (5y – 2)
= (5y – 2)(3x + 1)
(iii) ax + bx – ay – by
Grouping the terms, we have
= (ax – ay) + (bx – by)
= a(x – y) + b(x – y)
= (x – y)(a + b)
Hence, the required factors = (x – y)(a + b)
(iv) 15pq + 15 + 9q + 25p
Grouping the terms, we have
= (15pq + 25p) + (9q + 15)
= 5p(3q + 5) + 3(3q + 5)
= (3q + 5) (5p + 3)
Hence, the required factors = (3q + 5) (5p + 3)
(v) z – 7 + 7xy – xyz
Grouping the terms, we have
= (-xyz + 7xy) + (z – 7)
= -xy(z – 7) + 1 (z – 7)
= (-xy + 1) (z – 1)
Hence the required factor = -(1 – xy) (z – 7)
Class 8 Maths Chapter 14 Factorisation Exercise 14.2
Question 1. Factorise the following expressions.
(i) a2 + 8a +16
(ii) p2 – 10p + 25
(iii) 25m2 + 30m + 9
(iv) 49y2 + 84yz + 36z2
(v) 4x2 – 8x + 4
(vi) 121b2 – 88bc + 16c2
(vii) (l + m)2 – 4lm. (Hint: Expand (l + m)2 first)
(viii) a4 + 2a2b2 + b4
Solution:
(i) a2 + 8a + 16
Here, 4 + 4 = 8 and 4 × 4 = 16
a2 + 8a +16
= a2 + 4a + 4a + 4 × 4
= (a2 + 4a) + (4a + 16)
= a(a + 4) + 4(a + 4)
= (a + 4) (a + 4)
= (a + 4)2
(ii) p2 – 10p + 25
Here, 5 + 5 = 10 and 5 × 5 = 25
p2 – 10p + 25
= p2 – 5p – 5p + 5 × 5
= (p2 – 5p) + (-5p + 25)
= p(p – 5) – 5(p – 5)
= (p – 5) (p – 5)
= (p – 5)2
(iii) 25m2 + 30m + 9
Here, 15 + 15 = 30 and 15 × 15 = 25 × 9 = 225
25m2 + 30m + 9
= 25m2 + 15m + 15m + 9
= (25m2 + 15m) + (15m + 9)
= 5m(5m + 3) + 3(5m + 3)
= (5m + 3) (5m + 3)
= (5m + 3)2
(iv) 49y2 + 84yz + 36z2
Here, 42 + 42 = 84 and 42 × 42 = 49 × 36 = 1764
49y2 + 84yz + 36z2
= 49y2 + 42yz + 42yz + 36z2
= 7y(7y + 6z) +6z(7y + 6z)
= (7y + 6z) (7y + 6z)
= (7y + 6z)2
(v) 4x2 – 8x + 4
= 4(x2 – 2x + 1) [Taking 4 common]
= 4(x2 – x – x + 1)
= 4[x(x – 1) -1(x – 1)]
= 4(x – 1)(x – 1)
= 4(x – 1)2
(vi) 121b2 – 88bc + 16c2
Here, 44 + 44 = 88 and 44 × 44 = 121 × 16 = 1936
121b2 – 88bc + 16c2
= 121b2 – 44bc – 44bc + 16c2
= 11b(11b – 4c) – 4c(11b – 4c)
= (11b – 4c) (11b – 4c)
= (11b – 4c)2
(vii) (l + m)2 – 4lm
Expanding (l + m)2, we get
l2 + 2lm + m2 – 4lm
= l2 – 2lm + m2
= l2 – Im – lm + m2
= l(l – m) – m(l – m)
= (l – m) (l – m)
= (l – m)2
(viii) a4 + 2a2b2 + b4
= a4 + a2b2 + a2b2 + b4
= a2(a2 + b2) + b2(a2 + b2)
= (a2 + b2)(a2 + b2)
= (a2 + b2)2
Question 2. Factorise.
(i) 4p2 – 9q2
(ii) 63a2 – 112b2
(iii) 49x2 – 36
(iv) 16x5 – 144x3
(v) (l + m)2 – (l – m)2
(vi) 9x2y2 – 16
(vii) (x2 – 2xy + y2) – z2
(viii) 25a2 – 4b2 + 28bc – 49c2
Solution:
(i) 4p2 – 9q2
= (2p)2 – (3q)2
= (2p – 3q) (2p + 3q)
[∵ a2 – b2 = (a + b)(a – b)]
(ii) 63a2 – 112b2
= 7(9a2 – 16b2)
= 7 [(3a)2 – (4b)2]
= 7(3a – 4b)(3a + 4b)
[∵ a2 – b2 = (a + b)(a – b)]
(iii) 49x2 – 36 = (7x)2 – (6)2
= (7x – 6) (7x + 6)
[∵ a2 – b2 = (a + b)(a – b)]
(iv) 16x5 – 144x3 = 16x3 (x2 – 9)
= 16x3 [(x)2 – (3)2]
= 16x3(x – 3)(x + 3)
[∵ a2 – b2 = (a + b)(a – b)]
(v) (l + m)2 – (l – m)2
= (l + m) – (l – m)] [(l + m) + (l – m)]
[∵ a2 – b2 = (a + b)(a – b)]
= (l + m – l + m)(l + m + l – m)
= (2m) (2l)
= 4ml
(vi) 9x2y2 – 16 = (3xy)2 – (4)2
= (3xy – 4)(3xy + 4)
[∵ a2 – b2 = (a + b)(a – b)]
(vii) (x2 – 2xy + y2) – z2
= (x – y)2 – z2
= (x – y – z) (x – y + z)
[∵ a2 – b2 = (a + b)(a – b)]
(viii) 25a2 – 4b2 + 28bc – 49c2
= 25a2 – (4b2 – 28bc + 49c2)
= (5a)2 – (2b – 7c)2
= [5a – (2b – 7c)] [5a + (2b – 7c)]
= (5a – 2b + 7c)(5a + 2b – 7c)
Question 3. Factorise the expressions.
(i) ax2 + bx
(ii) 7p2 + 21q2
(iii) 2x3 + 2xy2 + 2xz2
(iv) am2 + bm2 + bn2 + an2
(v) (lm + l) + m + 1
(vi) y(y + z) + 9(y + z)
(vii) 5y2 – 20y – 8z + 2yz
(viii) 10ab + 4a + 5b + 2
(ix) 6xy – 4y + 6 – 9x
Solution:
(i) ax2 + bx = x(ax + 5)
(ii) 7p2 + 21q2 = 7(p2 + 3q2)
(iii) 2x3 + 2xy2 + 2xz2 = 2x(x2 + y2 + z2)
(iv) am2 + bm2 + bn2 + an2
= m2 (a + b) + n2(a + b)
= (a + b)(m2 + n2)
(v) (lm + l) + m + 1
= l(m + 1) + (m + 1)
= (m + 1) (l + 1)
(vi) y(y + z) + 9(y + z) = (y + z)(y + 9)
(vii) 5y2 – 20y – 8z + 2yz
= 5y2 – 20y + 2yz – 8z
= 5y(y – 4) + 2z(y – 4)
= (y – 4) (5y + 2z)
(viii) 10ab + 4a + 5b + 2
= 2a(5b + 2) + 1(5b + 2)
= (5b + 2)(2a + 1)
(ix) 6xy – 4y + 6 – 9x
= 6xy – 4y – 9x + 6
= 2y(3x – 2) – 3(3x – 2)
= (3x – 2) (2y – 3)
Question 4. Factorise.
(i) a4 – b4
(ii) p4 – 81
(iii) x4 – (y + z)4
(iv) x4 – (x – z)4
(v) a4 – 2a2b2 + b4
Solution:
(i) a4 – b4 – (a2)2 – (b2)2
[∵ a2 – b2 = (a – b)(a + b)]
= (a2 – b2) (a2 + b2)
= (a – b) (a + b) (a2 + b2)
(ii) p4 – 81 = (p2)2 – (9)2
= (p2 – 9) (p2 + 9)
[∵ a2 – b2 = (a – b)(a + b)]
= (p – 3)(p + 3) (p2 + 9)
(iii) x4 – (y + z)4 = (x2)2 – [(y + z)2]2
[∵ a2 – b2 = (a – b)(a + b)]
= [x2 – (y + z)2] [x2 + (y + z)2]
= [x – (y + z)] [x + (y + z)] [x2 + (y + z)2]
= (x – y – z) (x + y + z) [x2 + (y + z)2]
(iv) x4 – (x – z)4 = (x2)2 – [(y – z)2]2
= [x2 – (y – z)2] [x2 + (y – z)2]
= (x – y + z) (x + y – z) (x2 + (y – z)2]
(v) a4 – 2a2b2 + b4
= a4 – a2b2 – a2b2 + b4
= a2(a2 – b2) – b2(a2 – b2)
= (a2 – b2)(a2 – b2)
= (a2 – b2)2
= [(a – b) (a + b)]2
= (a – b)2 (a + b)2
Question 5. Factorise the following expressions.
(i) p2 + 6p + 8
(ii) q2 – 10q + 21
(iii) p2 + 6p – 16
Solution:
(i) p2 + 6p + 8
Here, 2 + 4 = 6 and 2 × 4 = 8
p2 + 6p + 8
= p2 + 2p + 4p + 8
= p (p + 2) + 4(p + 2)
= (p + 2) (p + 4)
(ii) q2 – 10q + 21
Here, 3 + 7 = 10 and 3 × 7 = 21
q2 – 10q + 21
= q2 – 3q – 7q + 21
= q(q – 3) – 7(q – 3)
= (q – 3) (q – 7)
(iii) p2 + 6p – 16
Here, 8 – 2 = 6 and 8 × 2 = 16
p2 + 6p – 16
= p2 + 8p – 2p – 16
= p(p + 8) – 2(p + 8)
= (p + 8) (p – 2)
Class 8 Maths Chapter 14 Factorisation Exercise 14.3
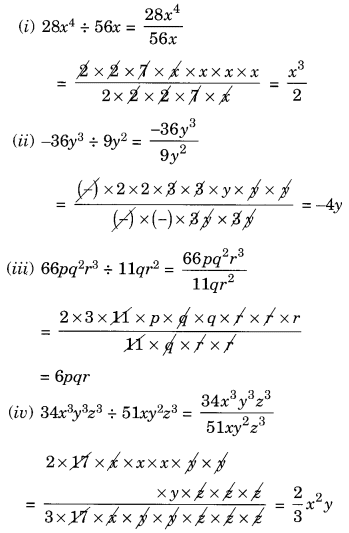
1. Carry out the following divisions.
(i) 28x4 ÷ 56x
(ii) –36y3 ÷ 9y2
(iii) 66pq2r3 ÷ 11qr2
(iv) 34x3y3z3 ÷ 51xy2z3
(v) 12a8b8 ÷ (– 6a6b4)
Solution:


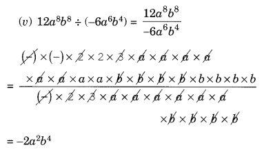
2. Divide the given polynomial by the given monomial.
(i)(5x2–6x) ÷ 3x
(ii)(3y8–4y6+5y4) ÷ y4
(iii) 8(x3y2z2+x2y3z2+x2y2z3)÷ 4x2 y2 z2
(iv)(x3+2x2+3x) ÷2x
(v) (p3q6–p6q3) ÷ p3q3
Solution:

3. Work out the following divisions.
(i) (10x–25) ÷ 5
(ii) (10x–25) ÷ (2x–5)
(iii) 10y(6y+21) ÷ 5(2y+7)
(iv) 9x2y2(3z–24) ÷ 27xy(z–8)
(v) 96abc(3a–12)(5b–30) ÷ 144(a–4)(b–6)
Solution:
(i) (10x–25) ÷ 5 = 5(2x-5)/5 = 2x-5
(ii) (10x–25) ÷ (2x–5) = 5(2x-5)/( 2x-5) = 5
(iii) 10y(6y+21) ÷ 5(2y+7) = 10y×3(2y+7)/5(2y+7) = 6y
(iv) 9x2y2(3z–24) ÷ 27xy(z–8) = 9x2y2×3(z-8)/27xy(z-8) = xy

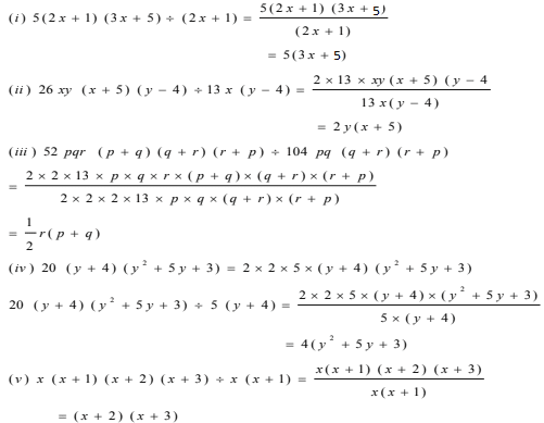
4. Divide as directed.
(i) 5(2x+1)(3x+5)÷ (2x+1)
(ii) 26xy(x+5)(y–4)÷13x(y–4)
(iii) 52pqr(p+q)(q+r)(r+p) ÷ 104pq(q+r)(r+p)
(iv) 20(y+4) (y2+5y+3) ÷ 5(y+4)
(v) x(x+1) (x+2)(x+3) ÷ x(x+1)
Solution:

5. Factorise the expressions and divide them as directed.
(i) (y2+7y+10)÷(y+5)
(ii) (m2–14m–32)÷(m+2)
(iii) (5p2–25p+20)÷(p–1)
(iv) 4yz(z2+6z–16)÷2y(z+8)
(v) 5pq(p2–q2)÷2p(p+q)
(vi) 12xy(9x2–16y2)÷4xy(3x+4y)
(vii) 39y3(50y2–98) ÷ 26y2(5y+7)
Solution:
(i) (y2+7y+10)÷(y+5)
First solve for equation, (y2+7y+10)
(y2+7y+10) = y2+2y+5y+10 = y(y+2)+5(y+2) = (y+2)(y+5)
Now, (y2+7y+10)÷(y+5) = (y+2)(y+5)/(y+5) = y+2
(ii) (m2–14m–32)÷ (m+2)
Solve for m2–14m–32, we have
m2–14m–32 = m2+2m-16m–32 = m(m+2)–16(m+2) = (m–16)(m+2)
Now, (m2–14m–32)÷(m+2) = (m–16)(m+2)/(m+2) = m-16
(iii) (5p2–25p+20)÷(p–1)
Step 1: Take 5 common from the equation, 5p2–25p+20, we get
5p2–25p+20 = 5(p2–5p+4)
Step 2: Factorize p2–5p+4
p2–5p+4 = p2–p-4p+4 = (p–1)(p–4)
Step 3: Solve original equation
(5p2–25p+20)÷(p–1) = 5(p–1)(p–4)/(p-1) = 5(p–4)
(iv) 4yz(z2 + 6z–16)÷ 2y(z+8)
Factorize z2+6z–16,
z2+6z–16 = z2-2z+8z–16 = (z–2)(z+8)
Now, 4yz(z2+6z–16) ÷ 2y(z+8) = 4yz(z–2)(z+8)/2y(z+8) = 2z(z-2)
(v) 5pq(p2–q2) ÷ 2p(p+q)
p2–q2 can be written as (p–q)(p+q) using identity.
5pq(p2–q2) ÷ 2p(p+q) = 5pq(p–q)(p+q)/2p(p+q) = 5q(p–q)/2
(vi) 12xy(9x2–16y2) ÷ 4xy(3x+4y)
Factorize 9x2–16y2 , we have
9x2–16y2 = (3x)2–(4y)2 = (3x+4y)(3x-4y) using identity: p2–q2 = (p–q)(p+q)
Now, 12xy(9x2–16y2) ÷ 4xy(3x+4y) = 12xy(3x+4y)(3x-4y) /4xy(3x+4y) = 3(3x-4y)
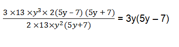
(vii) 39y3(50y2–98) ÷ 26y2(5y+7)
st solve for 50y2–98, we have
50y2–98 = 2(25y2–49) = 2((5y)2–72) = 2(5y–7)(5y+7)
Now, 39y3(50y2–98) ÷ 26y2(5y+7) =

Class 8 Maths Chapter 14 Factorisation Exercise 14.4
1. 4(x–5) = 4x–5
Solution:
4(x- 5)= 4x – 20 ≠ 4x – 5 = RHS
The correct statement is 4(x-5) = 4x–20
2. x(3x+2) = 3x2+2
Solution:
LHS = x(3x+2) = 3x2+2x ≠ 3x2+2 = RHS
The correct solution is x(3x+2) = 3x2+2x
3. 2x+3y = 5xy
Solution:
LHS= 2x+3y ≠ R. H. S
The correct statement is 2x+3y = 2x+3 y
4. x+2x+3x = 5x
Solution:
LHS = x+2x+3x = 6x ≠ RHS
The correct statement is x+2x+3x = 6x
5. 5y+2y+y–7y = 0
Solution:
LHS = 5y+2y+y–7y = y ≠ RHS
The correct statement is 5y+2y+y–7y = y
6. 3x+2x = 5x2
Solution:
LHS = 3x+2x = 5x ≠ RHS
The correct statement is 3x+2x = 5x
7. (2x) 2+4(2x)+7 = 2x2+8x+7
Solution:
LHS = (2x) 2+4(2x)+7 = 4x2+8x+7 ≠ RHS
The correct statement is (2x) 2+4(2x)+7 = 4x2+8x+7
8. (2x) 2+5x = 4x+5x = 9x
Solution:
LHS = (2x) 2+5x = 4x2+5x ≠ 9x = RHS
The correct statement is(2x) 2+5x = 4x2+5x
9. (3x + 2) 2 = 3x2+6x+4
Solution:
LHS = (3x+2) 2 = (3x)2+22+2x2x3x = 9x2+4+12x ≠ RHS
The correct statement is (3x + 2) 2 = 9x2+4+12x
10. Substituting x = – 3 in
(a) x2 + 5x + 4 gives (– 3) 2+5(– 3)+4 = 9+2+4 = 15
(b) x2 – 5x + 4 gives (– 3) 2– 5( – 3)+4 = 9–15+4 = – 2
(c) x2 + 5x gives (– 3) 2+5(–3) = – 9–15 = – 24
Solution:
(a) Substituting x = – 3 in x2+5x+4, we have
x2+5x+4 = (– 3) 2+5(– 3)+4 = 9–15+4 = – 2. This is the correct answer.
(b) Substituting x = – 3 in x2–5x+4
x2–5x+4 = (–3) 2–5(– 3)+4 = 9+15+4 = 28. This is the correct answer
(c)Substituting x = – 3 in x2+5x
x2+5x = (– 3) 2+5(–3) = 9–15 = -6. This is the correct answer
11.(y–3)2 = y2–9
Solution:
LHS = (y–3)2 , which is similar to (a–b)2 identity, where (a–b) 2 = a2+b2-2ab.
(y – 3)2 = y2+(3) 2–2y×3 = y2+9 –6y ≠ y2 – 9 = RHS
The correct statement is (y–3)2 = y2 + 9 – 6y
12. (z+5) 2 = z2+25
Solution:
LHS = (z+5)2 , which is similar to (a +b)2 identity, where (a+b) 2 = a2+b2+2ab.
(z+5) 2 = z2+52+2×5×z = z2+25+10z ≠ z2+25 = RHS
The correct statement is (z+5) 2 = z2+25+10z
13. (2a+3b)(a–b) = 2a2–3b2
Solution:
LHS = (2a+3b)(a–b) = 2a(a–b)+3b(a–b)
= 2a2–2ab+3ab–3b2
= 2a2+ab–3b2
≠ 2a2–3b2 = RHS
The correct statement is (2a +3b)(a –b) = 2a2+ab–3b2
14. (a+4)(a+2) = a2+8
Solution:
LHS = (a+4)(a+2) = a(a+2)+4(a+2)
= a2+2a+4a+8
= a2+6a+8
≠ a2+8 = RHS
The correct statement is (a+4)(a+2) = a2+6a+8
15. (a–4)(a–2) = a2–8
Solution:
LHS = (a–4)(a–2) = a(a–2)–4(a–2)
= a2–2a–4a+8
= a2–6a+8
≠ a2-8 = RHS
The correct statement is (a–4)(a–2) = a2–6a+8
16. 3x2/3x2 = 0
Solution:
LHS = 3x2/3x2 = 1 ≠ 0 = RHS
The correct statement is 3x2/3x2 = 1
17. (3x2+1)/3x2 = 1 + 1 = 2
Solution:
LHS = (3x2+1)/3x2 = (3x2/3x2)+(1/3x2) = 1+(1/3x2) ≠ 2 = RHS
The correct statement is (3x2+1)/3x2 = 1+(1/3x2)
18. 3x/(3x+2) = ½
Solution:
LHS = 3x/(3x+2) ≠ 1/2 = RHS
The correct statement is 3x/(3x+2) = 3x/(3x+2)
19. 3/(4x+3) = 1/4x
Solution:
LHS = 3/(4x+3) ≠ 1/4x
The correct statement is 3/(4x+3) = 3/(4x+3)
NCERT Solutions For Class 8 Maths Chapter 14 Exercises:
Get Completed detailed NCERT solutions for all the questions which are listed under the Chapter 14 exercises:
Exercise 14.1 Solutions:
Exercise 14.2 Solutions:
Exercise 14.3 Solutions:
Exercise 14.4 Solutions:
NCERT Solutions for Class 8 Maths Chapter 14 Factorisation
NCERT Class 8 Maths Chapter 14, mainly discusses the factorisation of numbers and algebraic expressions using algebraic identities. Students will also learn about, Division of algebraic expressions, Division of a monomial through another monomial, Division of a polynomial through a monomial and Division of a polynomial through a polynomial.
Characteristics of NCERT Solutions for Class 8 Maths Chapter 14.
- These NCERT solutions provide students with a clear understanding of the concepts.
- Simple and accurate language is used to explain subjects.
- All of the concepts were detailed.
- NCERT Solutions are useful in preparing competition examinations.
Frequently Asked Questions on NCERT Solutions for Class 8 Maths Chapter 14 Factorisation
Is NCERT Solutions for Class 8 Maths Chapter 14 important from the exam point of view?
Yes, Factorization the 14th chapter of NCERT Solutions for Class 8 is important from an examination point of view.It contains short-answer and long-answer questions to enhance problem-solving capability. Questions are Solved by the Knowledge Glow expert faculty to help students in the preparation of their examinations.
How many exercises does NCERT Solutions for Class 8 Maths Chapter 14 offer?
There are four exercises in Chapter 14 of the NCERT Solutions for Class 8 Mathematics. These NCERT Math Solutions Class 8 Chapters 14 help students solve problems with skill and efficiency. They. Also focus on cracking math solutions so that it is easy for students to figure out.
What is the factorization of 12?
2x2x3x6 24
How many ways can we factorize 12?
There are two different factorizations of 12.
122*2*3*6
122*3*3*2
Which of these factorizations is correct?
Both factorizations are correct.
If we add together the factors of each factorization, what do we get?
We get 6+6+6+2 16